True or Filtered Colour is determined by filtering samples through a 0.45 micron filter before analyzing the sample in a spectrophotometer. When running large amounts of samples on automated systems, this filtering can become time consuming and heavy on resource usage. An alternative method for determining true colour without filtering has been established, through the use of a turbidity meter to quantify the contribution from solids present in the sample. MANTECH can easily combine automated Turbidity and Colour analysis on one system, determined from one sample, to provide True Colour results without the need to filter.
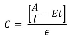
The determination is as follows:

- C is the colour result.
- A is the sample absorbance.
- l is the cell path length.
- E is the scattering coefficient estimated at 0.00264 NTU-1 cm-1.
- t is the turbidity.
- e is the color absorptivity coefficient.